関連製品

apexplatformbrightscenelookdevcompv01-m.jpg

Revolution Apex Elite

JB09613JA

※お客様のご使用経験に基づく記載です。仕様値として保証するものではありません。

製造販売:GE ヘルスケア・ジャパン株式会社
販売名 マルチスライスCTスキャナ Revolution 医療機器認証番号:226ACBZX00011000
販売名 AWサーバー 医療機器認証番号: 22200BZX00295000
販売名 アドバンテージワークステーション 医療機器認証番号: 20600BZY00483000

Revolution Apex Eliteによる
Next Generation心臓CT

国立大学法人 島根大学医学部附属病院
放射線部 細越 翔太 様



病院紹介
島根大学医学部附属病院は, 島根県東部, 宍道湖の西側に位置する「縁結びの町 出雲市」にある都道府県がん診療連携拠点病院である。当院は「地域医療と先進医療が調和する大学病院」を理念として, 地域により密着した地域完結型の高度医療を実践している。
診療技術面では, 島根県全域を対象とした外傷救急を実践する高度外傷センター, 県内で発生した脳卒中に迅速対応する目的で機能強化した高度脳卒中センター, 高齢者の動脈弁狭窄症や僧帽弁閉鎖不全症に対するカテーテル治療を行う総合ハートセンターなど, 大学病院の総合力として高度医療を提供している。また, 当院は山陰地方で唯一の小児心臓外科手術を実施する施設として, 新生児(未熟児含む), 乳児期, 幼児期, 学童期または先天性心疾患を持つ成人期の患者の治療にあたっている。
当院放射線部は2024年3月時点で, 放射線科医師15名, 放射線治療科医師7名, 診療放射線技師43名, 看護師23名, 事務員7名にて日々業務を行っている。特に診療放射線技師は20代, 30代の技師がおよそ70%を占めており, 高齢化が進む島根県において若き才能が躍動している。


RevolutionApexElite_Shimane01.jpg
島根大学医学部附属病院 放射線部



当院のCT装置
CT装置は放射線部に2台あり, これらを使用して一般外来患者や一般病棟患者の撮影を行っている。その他にも救急部に1台, 手術部に1台あり, IVR-CT装置, Ai専用CT装置, 放射線治療計画用CT装置などを含めると合計8台となる。
2023年10月に放射線部の他社320列MDCT装置が更新となり, GE HealthCare社のRevolution Apex Elite(以下Apex Elite)が国内2号機として導入された。 Apex Eliteにおける, Dual energy撮影, 回転速度0.23sec/rot, SnapShot Freeze2.0(以下SSF2.0), Deep learningを応用した画像再構成(True Fidelity DL)などの最新技術は当院のCT検査に革新をもたらした。
本稿では, Apex Eliteの最大の特徴である0.23sec/rotにフォーカスし, 使用経験等を紹介する。



心臓動態ファントムを用いた回転速度の違いによるモーションアーチファクト比較
Apex Eliteは回転速度0.23sec/rotによる撮影が可能であるが, 従来の回転速度0.28sec/rotとモーションアーチファクトを比較するために, 心臓動態ファントムを用いて実験を行った。
ファントムは, ALPHA1-VTPC(FUYO)および内腔が3mmの模擬冠動脈ファントムを使用し, Fig.1に示すようなファントムの配置とした。模擬冠動脈内腔にはCT値を約450HUに調整した希釈造影剤で満たした。ファントムの動作条件として, 静止状態および70, 90, 120bpmの動態状態において, 回転速度0.23sec/rotおよび0.28sec/rotで撮影した。


RevolutionApexElite_Shimane02.jpg
Fig.1 模擬冠動脈を装着した心臓動態ファントム



解析についてはFig.2aに示すように, 模擬冠動脈のCT値が最大となるピークピクセルを同定し, そこを中心にプロファイルカーブを取得した。次にFig.2bに示すように, これを10°ごとに回転させ, 全周性にプロファイルカーブを取得した。さらに, 各条件で1心拍分のR-R10%間隔の画像に対しても同様にプロファイルカーブを取得し, FWHMを計測した。1つの画像に対し, 得られた18個のFWHMのSDを算出して, これをモーションアーチファクトの量として定義した。
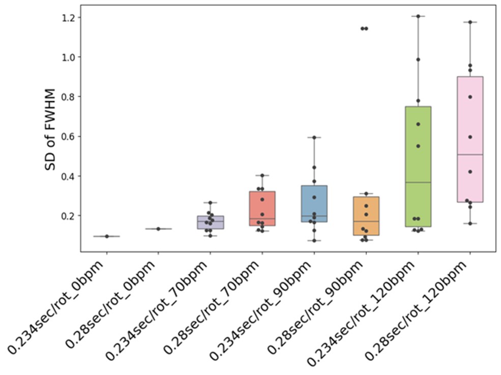
Fig.3に回転速度および心拍数の違いによるFWHMのSDの結果を示す。70bpmにおいて, 0.23sec/rotでは各位相でFWHMのSDが0.28sec/rotよりも低減しており, 位相ごとのバラツキも小さくなっている。90bpmでは, 一見FWHMのSDのバラツキは0.23sec/rotが大きいように見えるが, FWHMのSDの最大値は0.23sec/rotにおいて0.594, 0.28sec/rotにおいて1.144となり, 動きの激しい位相においてモーションアーチファクトは0.23sec/rotが少ない。そして120bpmでは, 25パーセンタイル値付近において0.23sec/rotの方がFWHMのSDが低く, 75パーセンタイル値付近ではFWHMのSDはほとんど同等となった。


RevolutionApexElite_Shimane03.jpg
Fig.2 モーションアーチファクトの解析について
(a)模擬冠動脈のCT値が最大となるピークピクセルを同定し,
そこを中心にプロファイルカーブを取得した
(b)10°ごとにプロファイルカーブを取得し, 全周性にFWHMを計測した


RevolutionApexElite_Shimane04.jpg
Fig.3 回転速度および心拍数の違いによるFWHMのSD



Fig.4にファントム画像およびFWHMのSDの例を示す。最上段の画像において, 視覚的にモーションアーチファクトはほとんど無く, FWHMのSDはそれぞれ0.123、0.160であった。上からの2段目の画像において, 視覚的に少しモーションアーチファクトが出ており, FWHMのSDは0.205、0.213であった。
以上の結果より, 今回のファントム実験において, モーションアーチファクトが無い画像をFWHMのSDが0.2以下とすれば, 至適位相で再構成することでどちらの回転速度でも冠動脈のブレを少なく撮影できそうである。一方で, 両者で全く差がないということではなく, 120bpmにおける25パーセンタイル値付近のFWHMのSD分布の差などを考慮すると, 0.23sec/rotは0.28sec/rotより全体的に冠動脈のモーションアーチファクトが, やや低減していると考えられる。
(ただし, 今回の結果は模擬冠動脈ファントムの1スライスのみを抽出して解析した結果であり, 他のスライス位置でのモーションアーチファクトの評価を行っていない。また, SSF2.0がoffの状態での評価である。)


RevolutionApexElite_Shimane05.jpg
Fig.4 ファントム画像およびFWHMのSDの例
画像下に記載してある数値はそのファントム画像に
対するFWHMのSDである



成人心臓CT検査におけるランジオロール塩酸塩静注の廃止
Apex Elite導入後は, 成人の心臓CT検査における全ての症例でランジオロール塩酸塩の静注を廃止する運用を循環器内科と決定した。これは, Apex Eliteにおける0.23sec/rotの回転速度とSnapShot Freeze2.0による実効時間分解能19.5msecを見込んだためである。Apex Elite導入後に100症例以上の心臓CT検査を行ったが, 冠動脈解析に支障をきたした症例はない。さらに, 以前のCT装置では高心拍の症例においては複数心拍撮影を行うことがあったが, Apex Eliteでは全症例1心拍での撮影を行っているため, 被ばく低減にも寄与している。
また, ランジオロール塩酸塩の静注を廃止したことで検査時間が短縮され, 心臓CT予約件数が1日当たり4件を6件に増加することが可能となった。



0.23sec/rotにおける 新生児・小児 心臓CT検査
当院は先天性心疾患に対する外科治療を行っており, 術前および術後の心血管形態評価目的で新生児・小児の心臓CT検査を実施している。新生児・小児の心拍数は通常120から140bpmであるため, 心血管の形態をモーションアーチファクトなく撮影するためには, 高い時間分解能が必要である。Apex Elite導入後は, 回転速度0.23sec/rotによって可能な限りモーションアーチファクトを低減するように努めている。当院の新生児・小児心臓CT検査において, 冠動脈の描出が必要な場合, 小児科医師より1心拍を撮影するように依頼されている。1心拍を撮影することによって, 当然ながら被ばく線量の増加が懸念されるが, この点についても, Revolution Apex Eliteの特徴を活かした撮影を行っている。まず管電圧を70kVとすることで、被ばく低減および造影効果上昇を図っている。また, 新生児の細い冠動脈を観察するには空間分解能の担保と画像ノイズ低減が必要となるが, TFI-Highで再構成する前提でNoise indexを0.625mmで45に設定している。

Fig.5に生後28日, 完全大血管転位症のジャテン手術後の症例を提示する。本症例は術後の心血管の形態評価および移植冠動脈の走行確認目的で心臓CT施行された。
撮影時の心拍数は147bpmであるが, 0.23sec/rotで1心拍を心電図同期撮影することで, 3D画像やCurved Planar Reconstruction (CPR)において, 移植冠動脈の走行が末梢まで確認可能であった。また前述した撮影時の工夫によって, 1心拍撮影でもCTDIvolが1.38mGy, 画像ノイズに関してはスライス厚0.625mmでStandard deviation (SD)がおよそ20であり, 低被ばくで画質を担保できている。


RevolutionApexElite_Shimane06.jpg
Fig.5 生後28日, 完全大血管転位症のジャテン手術後の症例
(a)心血管および移植冠動脈の3D画像 (b)右冠動脈CPR (c)左冠動脈CPR
(d)撮影時の心電図波形 (e)右冠動脈のAxial画像 (f)左冠動脈のAxial画像



総括
Revolution Apex Eliteは0.23sec/rotの回転速度とSnapShot Freeze2.0のシナジーによって, 新生児から成人まで, 次世代の心臓CT検査にUpdateされた。GE HealthCare社には今後のさらなる装置の進化に期待する。




Cookie Preferences | Privacy Policy | California Privacy Policy | Terms and Conditions | Security


Copyright and trademark statement: © 2026 GE HealthCare. GE is a trademark of General Electric Company. Used under trademark license.